假设投资额和净现金流量不变,则贴现率高低对净现值的大小有重要影响。在下列关于此问题的阐述中,正确的是( )。A、贴现率越高,净现值越大B、贴现率越高...

作者: rantiku 人气: - 评论: 0
问题 假设投资额和净现金流量不变,则贴现率高低对净现值的大小有重要影响。在下列关于此问题的阐述中,正确的是( )。
选项 A、贴现率越高,净现值越大 B、贴现率越高,净现值越小 C、贴现率越高,净现值越小 D、当项目风险大时,应选择高的贴现率
答案 BCD
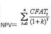
解析 本题考点净现值的相关内容。根据 可知贴现率和净现值成反比,所以选项B正确,选项A错误。选项CD的表述都是正确的。

猜你喜欢

发表评论
更多 网友评论0 条评论)
暂无评论

访问排行

Copyright © 2012-2014 恰考网 Inc. 保留所有权利。 Powered by tikuer.com

页面耗时0.0353秒, 内存占用1.03 MB, Cache:redis,访问数据库14次