甲公司从乙公司租入一台设备,合同约定租期3年,甲公司每年年末支付给乙公司6万元,假定年复利率10%,则甲公司支付的租金现值总计是()万元。A:21.55 ...

作者: rantiku 人气: - 评论: 0
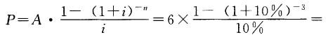
问题 甲公司从乙公司租入一台设备,合同约定租期3年,甲公司每年年末支付给乙公司6万元,假定年复利率10%,则甲公司支付的租金现值总计是()万元。
选项 A:21.55 B:17.43 C:14.92 D:16.55
答案 C
解析 本题考查后付年金现值的计算。=14.92(万元)。

猜你喜欢

发表评论
更多 网友评论0 条评论)
暂无评论

访问排行

Copyright © 2012-2014 恰考网 Inc. 保留所有权利。 Powered by tikuer.com

页面耗时0.0554秒, 内存占用1.03 MB, Cache:redis,访问数据库20次