共用题干某工厂每年需消耗煤100000吨,每吨煤的价格为1200元,每吨煤的年保管费率为4%,单次订货成本为6000元。假设煤的价格不因采购数量的不同而生...

作者: rantiku 人气: - 评论: 0
问题 共用题干某工厂每年需消耗煤100000吨,每吨煤的价格为1200元,每吨煤的年保管费率为4%,单次订货成本为6000元。假设煤的价格不因采购数量的不同而生产折扣。
选项 该工厂在保管煤的过程中需对其()进行检查。 A:数量 B:安全 C:形状 D:购买渠道
答案 AB
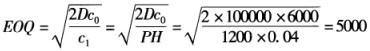
解析 常用的堆码方式主要有以下几种:①散堆。适用于不用包装的颗粒状、块状的大宗散货,如煤炭、矿砂、散粮、海盐等。②货架堆放。主要适用于存放不宜堆高、需特殊保管存放的小件包装的货物,如小百货、小五金、绸缎、医药品等。③成组堆放。常见的成组工具有托盘、网绳等。④垛堆。适用于有外包装和不需要包装的长、大件货物,如箱、桶、筐、袋装的货物,以及木材、钢材等。 检查是仓库保管业务的一项措施,其内容主要包括:①数量检查;②质量检查;③安全检查;④保管条件检查等。 该工厂采购煤的经济订购批量为:(吨)。式中,D表示货物的年需求量,c0表示单次订货费,c1表示单位货物单位时间的保管费,P表示货物单价,H表示单位保管费率。

猜你喜欢

发表评论
更多 网友评论0 条评论)
暂无评论

访问排行

Copyright © 2012-2014 恰考网 Inc. 保留所有权利。 Powered by tikuer.com

页面耗时0.0435秒, 内存占用1.04 MB, Cache:redis,访问数据库20次