共用题干甲企业与若干供应商企业签订长期合同,形成企业联盟,由该企业制定标准,供应商根据标准为企业提供原材料。同时,甲企业将其商标、生产技术以及经营管理方式...

作者: rantiku 人气: - 评论: 0
问题 共用题干甲企业与若干供应商企业签订长期合同,形成企业联盟,由该企业制定标准,供应商根据标准为企业提供原材料。同时,甲企业将其商标、生产技术以及经营管理方式等全盘转让给乙企业使用,乙企业向甲企业每年支付100万元。为了提高生产效率,甲企业拟向一家科研机构购买一项新的生产技术。经预测,该技术可再使用五年,采用该项新技术后,甲企业产品价格比同类产品每件可提高30元,预计未来五年产品的销量分别为8万件、8万件、7万件、7万件、8万件。根据行业投资收益率,折现率确定为10%,复利现值系数如表6-7所示。甲企业对该项技术价值评估后,与该科研机构签订了购买合同。
选项 甲企业与科研机构签订的合同属于()。 A:委托开发合同 B:合作开发合同 C:技术转让合同 D:技术咨询合同
答案 C
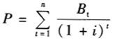
解析 由该企业制定标准,供应商根据标准为企业提供原材料,形成了垂直供应链,企业和供应商是相对固定的伙伴关系。这种企业联盟属于星形模式。 技术转让合同是指合同一方当事人将一定的技术成果交给另一方当事人,而另一方当事人接受这一成果并为此支付约定的价款或费用的合同。甲企业拟向一家科研机构购买一项新的生产技术,是直接购买,属技术转让合同。 效益模型的基本思路是:按技术所产生的经济效益来估算技术的价值。由效益模型的公式,该项新技术的价格为:=8*30*0.909+8*30*0.826+7*30*0.751+7*30*0.683+8*30*0.621=866.58(万元)。 特许专营是指由一家已经取得成功经验的企业,将其商标、商号名称、服务标志、专利、专有技术以及经营管理的方式或经验等全盘地转让给另一家企业使用,由被特许人向特许人支付一定金额的特许费的技术贸易行为。甲企业将其商标、生产技术以及经营管理方式等全盘转让给乙企业使用,乙企业向甲企业每年支付100万元,这属于特许专营。

猜你喜欢

发表评论
更多 网友评论0 条评论)
暂无评论

访问排行

Copyright © 2012-2014 恰考网 Inc. 保留所有权利。 Powered by tikuer.com

页面耗时0.0423秒, 内存占用1.04 MB, Cache:redis,访问数据库19次