共用题干某公司因生产发展需要再筹资50万元。现有两种筹资方案可供选择:(1)增发25000股普通股,每股发行价为20元;(2)发行债券50万元,债券年利率...

作者: rantiku 人气: - 评论: 0
问题 共用题干某公司因生产发展需要再筹资50万元。现有两种筹资方案可供选择:(1)增发25000股普通股,每股发行价为20元;(2)发行债券50万元,债券年利率10%。公司的息税前盈余目标为40万元,所得税率为25%,该公司筹资后的盈余状况如表8-9所示。
选项 发行债券与增发普通股每股盈余无差异点处的息税前盈余为()元。 A:90000 B:100000 C:200000 D:250000
答案 B
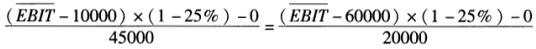
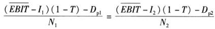
解析 增发普通股的每股盈余为:261300/45000=5.806(元),发行债券的每股盈余为:227800/20000=11.39(元)。所以债券的每股盈余与增发普通股的每股盈余相差为:11.39-5.806=5.584≈5.6(元)。 每股利润无差别点是指两种或两种以上筹资方案下普通股每股利润相等时的息税前利润点。测算公式为:。式中,为息税前利润平衡点,即每股利润无差别点;I1,I2为两种增效方式下的长期债务年利息;Dp1,Dp2为两种增效方式下的优先股年股利。根据题意,可列等式如下:计算得:=100000(元)。 因为该公司的息税前盈余目标为40万元>10万元,故利用负债筹资较为有利,如果采用增发普通股方案,则会使公司的每股盈余降低,资产负债率降低。 最佳资本结构是指企业在适度财务风险的条件下,使其预期的综合资本成本率最低,同时使企业价值最大的资本结构。

猜你喜欢

发表评论
更多 网友评论0 条评论)
暂无评论

访问排行

Copyright © 2012-2014 恰考网 Inc. 保留所有权利。 Powered by tikuer.com

页面耗时0.0488秒, 内存占用1.04 MB, Cache:redis,访问数据库20次