某企业发行期限为20年,利率为12%的债券一批,发行总额为250万元,发行费率为3.25%,该企业的所得税税率为25%,则债券成本为()。A:9.3%...

作者: rantiku 人气: - 评论: 0
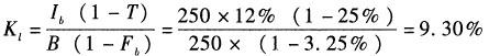
问题 某企业发行期限为20年,利率为12%的债券一批,发行总额为250万元,发行费率为3.25%,该企业的所得税税率为25%,则债券成本为()。
选项 A:9.3% B:8.31% C:8.04% D:17.30%
答案 A
解析 该债券的债券成本即长期债券资本成本率为:。式中,K6表示债券资本成本率;B表示债券筹资额,按发行价格确定;F1表示债券筹资费用率;Ib表示债券每年支付的利息。

猜你喜欢

发表评论
更多 网友评论0 条评论)
暂无评论

访问排行

Copyright © 2012-2014 恰考网 Inc. 保留所有权利。 Powered by tikuer.com

页面耗时0.0360秒, 内存占用1.03 MB, Cache:redis,访问数据库19次