共用题干某钢铁公司计划购置一个煤矿,需要投资600000元。该公司购置煤矿以后,需要购置运输设备将矿石运送到冶炼厂。公司在购置运输设备时有两种方案,投资方...

作者: rantiku 人气: - 评论: 0
问题 共用题干某钢铁公司计划购置一个煤矿,需要投资600000元。该公司购置煤矿以后,需要购置运输设备将矿石运送到冶炼厂。公司在购置运输设备时有两种方案,投资方案甲是投资400000元购买卡车,而投资方案乙是投资4400000元安装一条矿石运送线。如果该公司采用投资方案甲,卡车的燃料费、人工费和其他费用将会高于运送线的经营费用。假设该投资项目的使用期为1年,1年以后,煤矿的矿石将会耗竭。同时,假设投资方案甲的预期税后净利为1280000元,投资方案乙的预期税后净利为6000000元。假设投资方案甲和投资方案乙的资本成本均为10%且比较稳定。根据以上资料,回答下列问题:
选项 根据有关分析,应该选择()。 A:甲方案 B:乙方案 C:甲、乙方案皆可 D:甲、乙方案都不行
答案 A
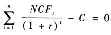
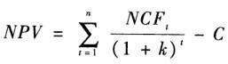
解析 根据净现值公式:NPV=未来报酬总现值-初始投资=,式中,NPV表示净现值;NCF,表示第t年的净现金流量;k表示贴现率(资本成本率或企业要求的报酬率);n表示项目预计年限;C表示初始投资额。又知在甲方案里,投资期为1年,期末现金净流入为1280000元,资本成本为10%,初始投资为1000000=600000+400000元。所以NPV=1280000/(1+10%)-1000000=163636(元)。 根据净现值公式:,又知在乙方案里,投资期为1年,期末现金净流入为6000000元,资本成本为10%,初始投资为5000000=600000+4400000元,则:NPV=6000000/(1+10%)-5000000=454545(元)。 内部报酬率(IRR),是使投资项目的净现值等于零的贴现率。内部报酬率实际上反映了投资项目的真实报酬。内部报酬率的计算公式为:。式中:NCF;为第t年的现金净流量;r为内部报酬率,即IRR;n为项目使用年限;C为初始投资额。则在甲方案中,1280000/(1+r)=1000000,解得r=28%。在乙方案中,6000000/(1+r)=5000000,解得r=20%。 净现值和内部报酬率在投资决策中的指导是:在有多个备选方案的互斥选择决策中,选用净现值是正值中的最大者;在有多个备选方案的互斥选择决策中,应选用内部报酬率超过资本成本或必要报酬率最多的投资项目。由前两题答案可以看出,甲方案的净现值大于乙方案的净现值,同时甲方案的内部报酬率大于乙方案的内部报酬率,所以甲方案优于乙方案。

猜你喜欢

发表评论
更多 网友评论0 条评论)
暂无评论

访问排行

Copyright © 2012-2014 恰考网 Inc. 保留所有权利。 Powered by tikuer.com

页面耗时0.0430秒, 内存占用1.04 MB, Cache:redis,访问数据库20次