共用题干甲生产企业准备投资,有A、B、C三个备选方案,项目寿命均为10年。据已知条件估算,三个方案初始投资分别为200万元、100万元、150万元。A方案...

作者: rantiku 人气: - 评论: 0
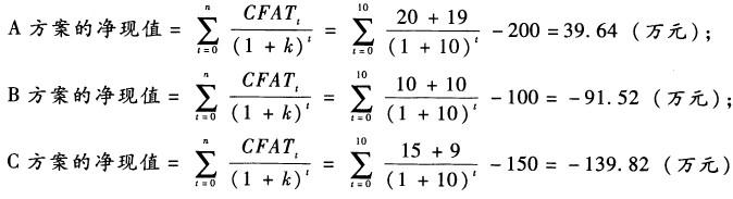
问题 共用题干甲生产企业准备投资,有A、B、C三个备选方案,项目寿命均为10年。据已知条件估算,三个方案初始投资分别为200万元、100万元、150万元。A方案年折旧额20万元,年净利19万元;B方案年折旧额10万元,年净利10万元;C方案年折旧额15万元,年净利9万元,如下表所示: 根据以上资料,回答下列问题:
选项 分别计算三个方案的内部报酬率,则下列说法中正确的有()。 A:A方案的内部报酬率大于10% B:B方案的内部报酬率小于10% C:C方案的内部报酬率小于10% D:B方案的内部报酬率最大
答案 ACD
解析 每年净现金流量(NCF)=净利+折旧。方案A=20+19=39(万元),方案B=10+10=20(万元),方案C=15+9=24(万元)。 根据净现值的计算公式具体计算如下: 式中,n为开始投资至项目寿命终结时的年数;CFATt为第t年的现金流量;k为贴现率(资本成本或企业要求的报酬率)。通过计算结果,B方案和C方案的净现值均小于零,不可行;A方案的净现值最大,应选用A方案。 内部报酬率的计算公式为:。式中,NCFt表示第t年的现金净流量;r表示内部报酬率,即IRR;n表示项目使用年限;C表示初始投资额。则: 。采用插值法计算,得:IRRA≈14.5%;IRRB≈14.98%;IRRC≈6.01%。则A方案和B方案的内部报酬率均大于10%,C方案的内部报酬率小于10%,B方案的内部报酬率最大。 在进行投资决策时,主要使用的是贴现指标,是因为贴现指标考虑了资金的时间价值,指标含义反映了投资的实质目的。在互斥选择决策中,使用三个贴现指标时,当选择结论不一致时,在无资本限量的情况下,以净现值法为选择标准。

猜你喜欢

发表评论
更多 网友评论0 条评论)
暂无评论

访问排行

Copyright © 2012-2014 恰考网 Inc. 保留所有权利。 Powered by tikuer.com

页面耗时0.0377秒, 内存占用1.04 MB, Cache:redis,访问数据库19次