假设某商品需求函数为Q=50-10P,则该商品价格从2元变动到4元的价格弧弹性是()。A:1.5B:0.75C:0.85D:1

作者: rantiku 人气: - 评论: 0
问题 假设某商品需求函数为Q=50-10P,则该商品价格从2元变动到4元的价格弧弹性是()。
选项 A:1.5 B:0.75 C:0.85 D:1
答案 A
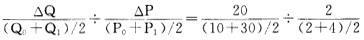
解析 商品价格4元时,即P0=4时,Q0=50-10*4=10;P1=2时,Q1=50-10*2=30。弧弹性的计算公式为:Ed==1.5。

猜你喜欢

发表评论
更多 网友评论0 条评论)
暂无评论

访问排行

Copyright © 2012-2014 恰考网 Inc. 保留所有权利。 Powered by tikuer.com

页面耗时0.0320秒, 内存占用1.03 MB, Cache:redis,访问数据库19次