已知某企业职工人数资料如下表所示,该企业3~6月平均职工人数为()人。A:1500B:1457C:1445D:1400

作者: rantiku 人气: - 评论: 0
问题 已知某企业职工人数资料如下表所示,该企业3~6月平均职工人数为()人。
选项 A:1500 B:1457 C:1445 D:1400
答案 B
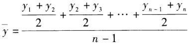
解析 职工人数是每隔一个月登记一次,间隔相等的间断时点序列序时平均数的计算公式为:,式中:Yi为各时点的指标值(i=1,2,…,n),n为时点个数。该企业3~6月平均职工人数==1456.67≈1457(人)。

猜你喜欢

发表评论
更多 网友评论0 条评论)
暂无评论

访问排行

Copyright © 2012-2014 恰考网 Inc. 保留所有权利。 Powered by tikuer.com

页面耗时0.0364秒, 内存占用1.03 MB, Cache:redis,访问数据库19次