某地区2008~2012年年底生猪存栏头数,分别在2007年的基础上增加20万、30万、40万、40万和50万头,则该地区5年间年平均生猪增长量为()万头...

作者: rantiku 人气: - 评论: 0
问题 某地区2008~2012年年底生猪存栏头数,分别在2007年的基础上增加20万、30万、40万、40万和50万头,则该地区5年间年平均生猪增长量为()万头。
选项 A:34 B:13 C:10 D:6
答案 C
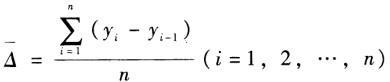
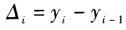
解析 平均增长量的计算公式为:。式中:n为逐期增长量个数。根据逐期增长量的计算公式:,逐期增长量分别为20万、10万、10万、0、10万,该地区5年间平均生猪增长量=(20+10+10+0+10)/5=10(万元)

猜你喜欢

发表评论
更多 网友评论0 条评论)
暂无评论

访问排行

Copyright © 2012-2014 恰考网 Inc. 保留所有权利。 Powered by tikuer.com

页面耗时0.0370秒, 内存占用1.03 MB, Cache:redis,访问数据库20次