对100本图书进行分组,价格10~15元有10本,组中值为12.5;价格15~20元有70本,组中值为17.5;20~25元有20本,组中值为22.5,加...

作者: rantiku 人气: - 评论: 0
问题 对100本图书进行分组,价格10~15元有10本,组中值为12.5;价格15~20元有70本,组中值为17.5;20~25元有20本,组中值为22.5,加权算术平均数为()。
选项 A:12.5 B:17.5 C:18 D:22.5
答案 C
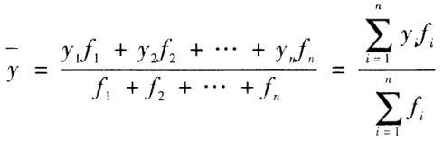
解析 设原始数据被分成K组,各组的组中值为X1,X2,…,XA,各组的频数分别为f1,f2…fn,加权算术平均数的计算公式为:。分组整理的数据应根据加权算术平均数计算,即加权算术平均数=18(元)。

猜你喜欢

发表评论
更多 网友评论0 条评论)
暂无评论

访问排行

Copyright © 2012-2014 恰考网 Inc. 保留所有权利。 Powered by tikuer.com

页面耗时0.0342秒, 内存占用1.03 MB, Cache:redis,访问数据库20次