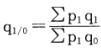
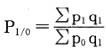
P0和P1分别是基期和报告期的质量数值,q0和q1分别是基期和报告期的数量数值,帕式质量指数的一般计算公式是()。A:B:C:D:

作者: rantiku 人气: - 评论: 0
问题 P0和P1分别是基期和报告期的质量数值,q0和q1分别是基期和报告期的数量数值,帕式质量指数的一般计算公式是()。
选项 A: B: C: D:
答案 D
解析 用报告期变量值加权的帕式质量指数的一般计算公式为:;用报告期变量值加权的帕式数量指数的一般计算公式为:

猜你喜欢

发表评论
更多 网友评论0 条评论)
暂无评论

访问排行

Copyright © 2012-2014 恰考网 Inc. 保留所有权利。 Powered by tikuer.com

页面耗时0.0342秒, 内存占用1.03 MB, Cache:redis,访问数据库17次