某企业2013年有关资料如表下表所示。已知该企业2012年年末职员人数为170人。根据上表资料计算可知()。A:该企业2013年二季度较一季度产量...

作者: rantiku 人气: - 评论: 0
问题 某企业2013年有关资料如表下表所示。 已知该企业2012年年末职员人数为170人。根据上表资料计算可知()。
选项 A:该企业2013年二季度较一季度产量增长116.7% B:该企业2013年二季度较一季度产量增长21.88% C:该企业2013年一季度职员平均人数为160人 D:该企业2013年一季度职员平均人数为157人 E:该企业2013年二季度较一季度职员平均人数减少10人
答案 BCE
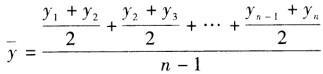
解析 一季度总产量=10+10+12=32(万米),二季度总产量=11+14+14=39(万米),二季度较一季度产量增长=(39-32)/32*100%=21.88%;月末职工人数是每隔一个月登记一次,间隔相等的间断时点序列的平均数计算公式为:其中,Yi为各时点的指标值(i=1,2,…,n)。一季度职员平均人数==160(人),二季度职员平均人数=150人,二季度较一季度职员平均人数减少,=160-150=10(人)。

猜你喜欢

发表评论
更多 网友评论0 条评论)
暂无评论

访问排行

Copyright © 2012-2014 恰考网 Inc. 保留所有权利。 Powered by tikuer.com

页面耗时0.0394秒, 内存占用1.03 MB, Cache:redis,访问数据库19次