假设消费者收入增加25%,会导致某种商品的需求量增加10%,则该商品的类型为()。A:低档品B:高档品C:劣等品D:必需品

作者: rantiku 人气: - 评论: 0
问题 假设消费者收入增加25%,会导致某种商品的需求量增加10%,则该商品的类型为()。
选项 A:低档品 B:高档品 C:劣等品 D:必需品
答案 D
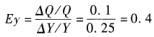
解析 需求收入弹性,是指需求量的变动和引起这一变动的消费者收入变动之比,用以衡量需求变动对消费者收入变动的反应程度。就一般商品而言,收入弹性的大小,可以作为划分“高档品”和“必需品”的标准。凡是收入弹性大于1的商品,都可以称为“高档品”,小于1的则称为“必需品”。本题中,,属于必需品。

猜你喜欢

发表评论
更多 网友评论0 条评论)
暂无评论

访问排行

Copyright © 2012-2014 恰考网 Inc. 保留所有权利。 Powered by tikuer.com

页面耗时0.0378秒, 内存占用1.03 MB, Cache:redis,访问数据库19次