某超市2013年6月某商品的库存记录见下表,该商品的6月平均日库存量是()台。A:48B:40C:45D:50

作者: rantiku 人气: - 评论: 0
问题 某超市2013年6月某商品的库存记录见下表,该商品的6月平均日库存量是()台。
选项 A:48 B:40 C:45 D:50
答案 D
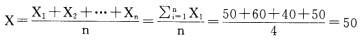
解析 可以利用均值计算平均日库存量。均值也叫做平均数,就是数据组中所有数值的总和除以该组数值的个数。(台)。

猜你喜欢

发表评论
更多 网友评论0 条评论)
暂无评论

访问排行

Copyright © 2012-2014 恰考网 Inc. 保留所有权利。 Powered by tikuer.com

页面耗时0.0362秒, 内存占用1.03 MB, Cache:redis,访问数据库20次