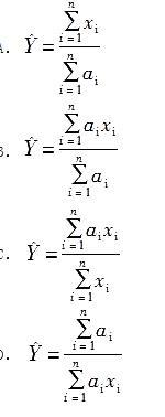
若--预测值,xi--第i期数值,ai--第i期对应的权数,则采用加权平均法进行预测的计算公式为(  )。

作者: rantiku 人气: - 评论: 0
问题--预测值,xi--第i期数值,ai--第i期对应的权数,则采用加权平均法进行预测的计算公式为(  )。
选项
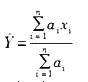
答案 B
解析 加权平均法是指根据历史上不同阶段资料重要性和对未来的影响程度,分别赋予不同权数然后再加以平均。计算公式为: 式中,为预测值;xi为第i期数值;ai为第i期对应的权数。加权平均法的关键是权数的确定,目前多数情况下还是依靠经验而定。

猜你喜欢

发表评论
更多 网友评论0 条评论)
暂无评论

访问排行

Copyright © 2012-2014 恰考网 Inc. 保留所有权利。 Powered by tikuer.com

页面耗时0.0404秒, 内存占用1.02 MB, Cache:redis,访问数据库16次