某企业于2001年3月购买了一台价值为200万元的设备,当时的物价指数为1.5,评估月为2004年3月,物价指数为3.0。则这台设备的重置成本为(  )万...

作者: rantiku 人气: - 评论: 0
问题 某企业于2001年3月购买了一台价值为200万元的设备,当时的物价指数为1.5,评估月为2004年3月,物价指数为3.0。则这台设备的重置成本为(  )万元。
选项 A.400 B.200 C.250 D.300
答案 A
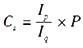
解析 本题可按重置成本法的物价指数法来计算:物价指数法是指已掌握同种或同类资产历年的价格指数、运用预测技术预计被评估资产在取得日的物价指数Iq、评估基准日的物价指数Ip、被评估资产原值P的情况下,重置成本Cz:。则本题中,这台设备的重置成本=200*(3.0/1.5)=400(万元)。

猜你喜欢

发表评论
更多 网友评论0 条评论)
暂无评论

访问排行

Copyright © 2012-2014 恰考网 Inc. 保留所有权利。 Powered by tikuer.com

页面耗时0.0369秒, 内存占用1.03 MB, Cache:redis,访问数据库18次