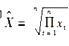
已知某航空公司前n年的旅客运输量为x1,x2,…xn,使用几何平均数法预测该公司第n+1年的旅客运输量时应使用公式(  )。

作者: rantiku 人气: - 评论: 0
问题 已知某航空公司前n年的旅客运输量为x1,x2,…xn,使用几何平均数法预测该公司第n+1年的旅客运输量时应使用公式(  )。
选项
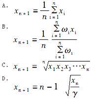
答案 C
解析 简单几何平均法适合于预测指标的时间序列中的各期数据呈现出水平型的变动形态的情况,在航空运输预测中也有广泛的应用。以时间序列{x1,x2,…xn}的简单几何平均数作为第n+1期的预测值,模型为

猜你喜欢

发表评论
更多 网友评论0 条评论)
暂无评论

访问排行

Copyright © 2012-2014 恰考网 Inc. 保留所有权利。 Powered by tikuer.com

页面耗时0.0355秒, 内存占用1.03 MB, Cache:redis,访问数据库17次