某运输公司有块土地欲出售使用权,据预测这块土地每年可获20万元收益,本金化利率为20%,这块土地的价值为(  )万元。A.16.67 B.100 ...

作者: rantiku 人气: - 评论: 0
问题 某运输公司有块土地欲出售使用权,据预测这块土地每年可获20万元收益,本金化利率为20%,这块土地的价值为(  )万元。
选项 A.16.67 B.100 C.25 D.50
答案 B
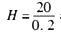
解析 土地的经济寿命是无限的。本题中,P为20万元,i=20%,则这块土地的价值为:=100(万元)。

猜你喜欢

发表评论
更多 网友评论0 条评论)
暂无评论
错误啦!

错误信息

  • 消息: [程序异常] : MISCONF Redis is configured to save RDB snapshots, but it's currently unable to persist to disk. Commands that may modify the data set are disabled, because this instance is configured to report errors during writes if RDB snapshotting fails (stop-writes-on-bgsave-error option). Please check the Redis logs for details about the RDB error.
  • 文件: /twcms/kongphp/cache/cache_redis.class.php
  • 位置: 第 85 行
    <?php echo 'KongPHP, Road to Jane.'; ?>