内部收益率是建设项目在其净现值为(  )时的贴现率。A.-1 B.0 C.1 D.2

作者: rantiku 人气: - 评论: 0
问题 内部收益率是建设项目在其净现值为(  )时的贴现率。
选项 A.-1 B.0 C.1 D.2
答案 B
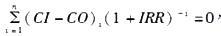
解析 内部收益率(IRR)又称为内部报酬率,是指项目在计算期内,各年净现金流量现值累计等于零时的折现率。设内部收益率为IRR,则有:,式中的IRR即为内部收益率。

猜你喜欢

发表评论
更多 网友评论0 条评论)
暂无评论

访问排行

Copyright © 2012-2014 恰考网 Inc. 保留所有权利。 Powered by tikuer.com

页面耗时0.0440秒, 内存占用1.03 MB, Cache:redis,访问数据库18次