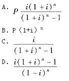
投入一笔资金P,年利率为i,在n年中,每年末可收回资金A为(  )。

作者: rantiku 人气: - 评论: 0
问题 投入一笔资金P,年利率为i,在n年中,每年末可收回资金
选项 A为(  )。
答案 A
解析 年金是指从资金现值到终值经历的年份内,每年收入或支出本利的等额资金。年金和现值的换算可用公式表示为:

猜你喜欢

发表评论
更多 网友评论0 条评论)
暂无评论

访问排行

Copyright © 2012-2014 恰考网 Inc. 保留所有权利。 Powered by tikuer.com

页面耗时0.0393秒, 内存占用1.03 MB, Cache:redis,访问数据库14次