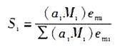
如果Si为企业i的市场份额,ai为企业i营销费用的效率水平,aiMi为企业i的有效营销费用,emi为企业i有效营销费用对其市场占有率的弹性,则它们之间的关...

作者: rantiku 人气: - 评论: 0
问题 如果Si为企业i的市场份额,ai为企业i营销费用的效率水平,aiMi为企业i的有效营销费用,emi为企业i有效营销费用对其市场占有率的弹性,则它们之间的关系为(  )。
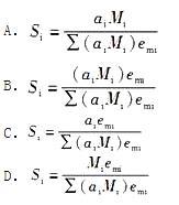
选项
答案 B
解析 在其他因素都相同的情况下,企业的市场份额依赖于它的市场营销费用相对于竞争者而 该式隐含了一个假设,即市场占有率同企业的有效的营销费用所占份额之间存在着一定比例关系,但实际上,它们之间在某些情况下并不存在这种关系。因此将该式调整为

猜你喜欢

发表评论
更多 网友评论0 条评论)
暂无评论

访问排行

Copyright © 2012-2014 恰考网 Inc. 保留所有权利。 Powered by tikuer.com

页面耗时0.0398秒, 内存占用1.03 MB, Cache:redis,访问数据库17次