在平均成本定价计算公式中Cv表示(  )。A.运价 B.固定总成本 C.运量 D.单位变动成本

作者: rantiku 人气: - 评论: 0
问题 在平均成本定价计算公式中Cv表示(  )。
选项 A.运价 B.固定总成本 C.运量 D.单位变动成本
答案 D
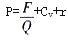
解析 平均成本定价计算公式为:。式中:P表示运价;F表示固定总成本;Q表示运量;Cv表示单位变动成本;r表示单位运量的利润。

猜你喜欢

发表评论
更多 网友评论0 条评论)
暂无评论

访问排行

Copyright © 2012-2014 恰考网 Inc. 保留所有权利。 Powered by tikuer.com

页面耗时0.0714秒, 内存占用1.03 MB, Cache:redis,访问数据库17次