在运输布局中,利用O-D流分析法,分析中心城市间相互作用强弱,以确定通道节点地位的指标是(  )。A.网内通道强度 B.输出量强度 C.运输联系强...

作者: rantiku 人气: - 评论: 0
问题 在运输布局中,利用O-D流分析法,分析中心城市间相互作用强弱,以确定通道节点地位的指标是(  )。
选项 A.网内通道强度 B.输出量强度 C.运输联系强度 D.输入量强度
答案 C
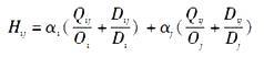
解析 运输联系强度是利用O-D流分析方法,分析中心城市间相互作用强弱的一个指标,用以确定通道中节点的地位。其计算公式如下:

猜你喜欢

发表评论
更多 网友评论0 条评论)
暂无评论

访问排行

Copyright © 2012-2014 恰考网 Inc. 保留所有权利。 Powered by tikuer.com

页面耗时0.0363秒, 内存占用1.03 MB, Cache:redis,访问数据库19次