如果K1表示长期借款成本,I1表示长期借款年利息,T表示所得税税率,F1表示长期借款筹资费用率,R1表示长期借款利率,则长期借款的资金成本计算公式为(  ...

作者: rantiku 人气: - 评论: 0
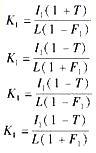
问题 如果K1表示长期借款成本,I1表示长期借款年利息,T表示所得税税率,F1表示长期借款筹资费用率,R1表示长期借款利率,则长期借款的资金成本计算公式为(  )。
选项
答案 C
解析 长期借款的成本是指借款利息和筹资费。由于借款利息计入税前成本费用,可以起抵税的作用。长期借款的资金成本的计算公式为:式中,K1为长期借款成本;I1为长期借款年利息;L为长期借款筹资额;F1为长期借款筹资费用率;R1为长期借款利率。

猜你喜欢

发表评论
更多 网友评论0 条评论)
暂无评论

访问排行

Copyright © 2012-2014 恰考网 Inc. 保留所有权利。 Powered by tikuer.com

页面耗时0.0384秒, 内存占用1.03 MB, Cache:redis,访问数据库18次