该航运公司3艘船舶的平均航速为(  )。A.148.35海里/天 B.161.88海里/天 C.175.64海里/天 D.183.46海里...

作者: rantiku 人气: - 评论: 0
问题 该航运公司3艘船舶的平均航速为(  )。
选项 A.148.35海里/天 B.161.88海里/天 C.175.64海里/天 D.183.46海里/天 E.193.07海里/天
答案 E
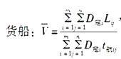
解析 根据一组船舶的平均航行速度计算公式:,式中,V--船舶平均航行速度,单位:海里/天;t航ij--第i艘船在第j航次的航行时间,单位:天。三艘船舶的平均航速=(1*35000+1.5*40000+2*50000)/(1*180+1.5*220+2*250)=193.07(海里/天)。

猜你喜欢

发表评论
更多 网友评论0 条评论)
暂无评论

访问排行

Copyright © 2012-2014 恰考网 Inc. 保留所有权利。 Powered by tikuer.com

页面耗时0.0355秒, 内存占用1.03 MB, Cache:redis,访问数据库18次