现有四条船排队等候一个泊位进行装卸作业。船和港口有关资料如下:请根据上述资料,回答下列问题:为了使船舶在港运力损失最少,确定合理开工顺序的原则...

作者: rantiku 人气: - 评论: 0
问题 现有四条船排队等候一个泊位进行装卸作业。船和港口有关资料如下: 请根据上述资料,回答下列问题: 为了使船舶在港运力损失最少,确定合理开工顺序的原则是(  )。
选项 A.按船舶在港停泊天费用的大小依次由小至大排列 B.按船舶在港停泊天费用的大小依次由大至小排列 C.按装卸效率的高低依次由低至高排列 D.按载重量利用率由低至高排列
答案 D
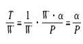
解析 船舶在港运力损失最少,即停泊吨天为最小。已知:,其中:P是指船舶昼夜装卸效率(吨/昼夜);a是指载重量利用率。所以,当船舶载重量利用率相等时,应先装卸效率高的船舶;而当装卸效率相等时,应先装卸载重量利用率低的船舶。本题装卸效率相等,求得各船的载重量利用率分别为:95%、100%、96.67%和91.67%,所以开工顺序为S4→S1→S3→S2。

猜你喜欢

发表评论
更多 网友评论0 条评论)
暂无评论

访问排行

Copyright © 2012-2014 恰考网 Inc. 保留所有权利。 Powered by tikuer.com

页面耗时0.0915秒, 内存占用1.03 MB, Cache:redis,访问数据库15次