年名义利率为12%,按月计息,则年实际利率为(  )。A.12% B.12.68% C.13.68% D.14.68%

作者: rantiku 人气: - 评论: 0
问题 年名义利率为12%,按月计息,则年实际利率为(  )。
选项 A.12% B.12.68% C.13.68% D.14.68%
答案 B
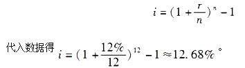
解析 设年利率为r,每年计算利息的次数为n次,则年实际利率i为:

猜你喜欢

发表评论
更多 网友评论0 条评论)
暂无评论

访问排行

Copyright © 2012-2014 恰考网 Inc. 保留所有权利。 Powered by tikuer.com

页面耗时0.0510秒, 内存占用1.03 MB, Cache:redis,访问数据库20次