随时间变化而变化的资金价值,它是在投资及生产经营活动中必须考虑的重要因素,某铁路建设工程计划工期5年,平均每年投资5000万元,设定折现率为6%,年名义利...

作者: rantiku 人气: - 评论: 0
问题 随时间变化而变化的资金价值,它是在投资及生产经营活动中必须考虑的重要因素,某铁路建设工程计划工期5年,平均每年投资5000万元,设定折现率为6%,年名义利率为r,年有效利率为i。 如果每年计算利息的次数为c次,那么i与r的关系为(  )。
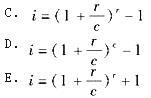
选项 A.i=(1+r)r-1 B.i=(1+r)c-1
答案 D
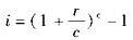
解析 假定年名义利率为r,每年计算利息的次数为c次,年实际利率为i。那么i与r的关系可用下列关系式表示:

猜你喜欢

发表评论
更多 网友评论0 条评论)
暂无评论

访问排行

Copyright © 2012-2014 恰考网 Inc. 保留所有权利。 Powered by tikuer.com

页面耗时0.0393秒, 内存占用1.03 MB, Cache:redis,访问数据库17次