某公司从银行借入利息率为8%的长期贷款100万元,其中所得税率为10%,银行免去借款手续费,则该企业长期借款的资金成本为(  )。A.7.2% B.8...

作者: rantiku 人气: - 评论: 0
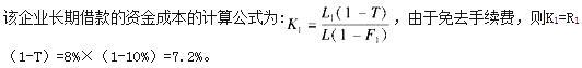
问题 某公司从银行借入利息率为8%的长期贷款100万元,其中所得税率为10%,银行免去借款手续费,则该企业长期借款的资金成本为(  )。
选项 A.7.2% B.8% C.9.2% D.10%
答案 A
解析

猜你喜欢

发表评论
更多 网友评论0 条评论)
暂无评论

访问排行

Copyright © 2012-2014 恰考网 Inc. 保留所有权利。 Powered by tikuer.com

页面耗时0.0339秒, 内存占用1.03 MB, Cache:redis,访问数据库14次