某船公司船舶资料如下表:该船从甲港出发,装载4000吨货物去乙港,在乙港卸货2000吨继续航行至丙港,卸完货后航次结束,甲港到乙港的距离为1000...

作者: rantiku 人气: - 评论: 0
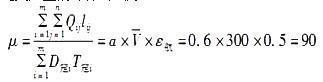
问题 某船公司船舶资料如下表: 该船从甲港出发,装载4000吨货物去乙港,在乙港卸货2000吨继续航行至丙港,卸完货后航次结束,甲港到乙港的距离为1000海里,乙港到丙港距离为1000海里。 根据以上资料,分析计算以下问题: 分析计算该船的吨天产量为(  )吨海里/吨天。
选项 A.90 B.108 C.144 D.120
答案 A
解析 吨天产量的计算公式为:(吨海里/吨天)。

猜你喜欢

发表评论
更多 网友评论0 条评论)
暂无评论
错误啦!

错误信息

  • 消息: [程序异常] : MISCONF Redis is configured to save RDB snapshots, but it's currently unable to persist to disk. Commands that may modify the data set are disabled, because this instance is configured to report errors during writes if RDB snapshotting fails (stop-writes-on-bgsave-error option). Please check the Redis logs for details about the RDB error.
  • 文件: /twcms/kongphp/cache/cache_redis.class.php
  • 位置: 第 85 行
    <?php echo 'KongPHP, Road to Jane.'; ?>