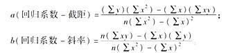
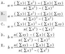
采用一元线性回归法进行旅游需求预测时,假设方程为Y′=a+bx,其回归系数的计算公式是()。

作者: rantiku 人气: - 评论: 0
问题 采用一元线性回归法进行旅游需求预测时,假设方程为Y′=a+bx,其回归系数的计算公式是()。
选项
答案 AD
解析 采用一元线性回归法进行旅游需求预测时,假设方程为Y′=a+bx,其回归系数的计算公式为:

猜你喜欢

发表评论
更多 网友评论0 条评论)
暂无评论

访问排行

Copyright © 2012-2014 恰考网 Inc. 保留所有权利。 Powered by tikuer.com

页面耗时0.0711秒, 内存占用1.03 MB, Cache:redis,访问数据库19次