某船公司船舶资料如下表:该船从甲港出发,装载4000吨货物去乙港,在乙港卸货2000吨继续航行至丙港,卸完货后航次结束,甲港到乙港的距离为1000...

作者: rantiku 人气: - 评论: 0
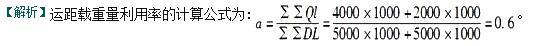
问题 某船公司船舶资料如下表: 该船从甲港出发,装载4000吨货物去乙港,在乙港卸货2000吨继续航行至丙港,卸完货后航次结束,甲港到乙港的距离为1000海里,乙港到丙港距离为1000海里。 根据以上资料,分析计算以下问题: 该船的运距载重量利用率为(  )。
选项 A.0.4 B.0.6 C.0.8 D.0.9
答案 B
解析

猜你喜欢

发表评论
更多 网友评论0 条评论)
暂无评论

访问排行

Copyright © 2012-2014 恰考网 Inc. 保留所有权利。 Powered by tikuer.com

页面耗时0.0466秒, 内存占用1.03 MB, Cache:redis,访问数据库19次