—个分数,分母减少了原来的1/3,分子变为原先的5/3,则所得分数是原分数值的()。A.2.5 倍 B.3 倍 C.5 倍 D.1/3

作者: rantiku 人气: - 评论: 0
问题 —个分数,分母减少了原来的1/3,分子变为原先的5/3,则所得分数是原分数值的()。 A.2.5 倍 B.3 倍 C.5 倍 D.1/3
选项
答案 A
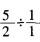
解析 特值法。取这个分数的分子、分母均为1,则变化后的分数为,所以变化后的分数是原来分数的=2.5倍。

猜你喜欢

发表评论
更多 网友评论0 条评论)
暂无评论

访问排行

Copyright © 2012-2014 恰考网 Inc. 保留所有权利。 Powered by tikuer.com

页面耗时0.0514秒, 内存占用1.03 MB, Cache:redis,访问数据库19次