一个建筑队伍修建一个长宽比为3 : 1的长方形的围墙需要16天,如果按照相同的速度 修建另一处高度相同,长比原来多三分之一,宽度比原来少四分之一的围墙需要...

作者: rantiku 人气: - 评论: 0
问题 一个建筑队伍修建一个长宽比为3 : 1的长方形的围墙需要16天,如果按照相同的速度 修建另一处高度相同,长比原来多三分之一,宽度比原来少四分之一的围墙需要的时间是 ( )o A. 16 天 B. 17 天 C. 18 天 D. 19 天
选项
答案 D
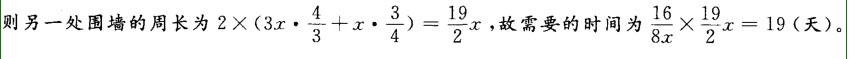
解析

猜你喜欢

发表评论
更多 网友评论0 条评论)
暂无评论

访问排行

Copyright © 2012-2014 恰考网 Inc. 保留所有权利。 Powered by tikuer.com

页面耗时0.0341秒, 内存占用1.03 MB, Cache:redis,访问数据库19次