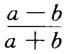
a和b是两个不同的非零自然数,且a和b均小于100。当取到最大值时,a和b的取值分别为( )。A. a = 50,b = 49 B. a = 80,b...

作者: rantiku 人气: - 评论: 0
问题 a和b是两个不同的非零自然数,且a和b均小于100。当取到最大值时,a和b的取值分别为( )。 A. a = 50,b = 49 B. a = 80,b=16 C. a = 99,b=1 D. a = 2,b=1
选项
答案 C
解析 分别将四个选项带入,可知当a = 99,b=1时,大于将其他三个选项代入后的数值。因此答案为C。

猜你喜欢

发表评论
更多 网友评论0 条评论)
暂无评论

访问排行

Copyright © 2012-2014 恰考网 Inc. 保留所有权利。 Powered by tikuer.com

页面耗时0.0393秒, 内存占用1.02 MB, Cache:redis,访问数据库14次