2012年1 一7月,全国医疗卫生机构总诊疗人次达37.5亿人次,同比提高11.9%。其中:医院诊疗人次为13.9亿人次,同比提高15.3%;基层医疗卫生...

作者: rantiku 人气: - 评论: 0
问题 2012年1 一7月,全国医疗卫生机构总诊疗人次达37.5亿人次,同比提高11.9%。其中:医院诊疗人次为13.9亿人次,同比提高15.3%;基层医疗卫生机构诊疗人次为22.5亿人次, 同比提高9.6%;其他机构1.2亿人次。基层医疗卫生机构中:社区卫生服务中心(站)3.2亿人次,同比提高19.6 % ;乡镇卫生院5.3亿人次,同比提高10.1 % ;村卫生室诊疗人次10.5亿人次(见下表)。7月份,全国医疗卫生机构诊疗人次达5.5亿人次,同比提高10.6%,环比降低1.9%。 其中:医院2.1亿人次,同比提高13.8%,环比降低1.5%;基层医疗卫生机构诊疗人次为3.2亿人次,同比提高8.6%,环比降低2.0%;其他机构0.2亿人次。基层医疗卫生机构中:社区卫生服务中心(站)0.5亿人次,同比提高16.8%,环比提高2.7%;乡镇卫生院0.7亿人次,同比提高10.6%,环比降低9.3%。 2011年7月基层医疗卫生机构诊疗人次占2011年1一7月的比重为( )。 A. 11% B. 14% C. 17% D. 20%
选项
答案 B
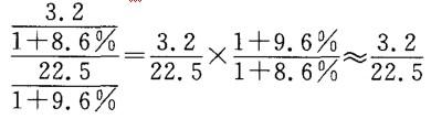
解析 由2012年1 一7月“基层医疗卫生机构诊疗人次为22.5亿人次,同比提高9.6%”及2012年7月“基层医疗卫生机构诊疗人次为3.2亿人次,同比提高8.6%”可知, 2011年7月基层医疗卫生机构诊疗人次占2011年1—7月的比重为 运用直除法可得14%为所求。

猜你喜欢

发表评论
更多 网友评论0 条评论)
暂无评论

访问排行

Copyright © 2012-2014 恰考网 Inc. 保留所有权利。 Powered by tikuer.com

页面耗时0.0320秒, 内存占用1.03 MB, Cache:redis,访问数据库13次