某班级的一次期中考试平均分为97. 5分。但后来发现老师错把一名同学的79分误写成了 97分,再次计算后,得出该班级的平均分为97. 14分,则该班级的学...

作者: rantiku 人气: - 评论: 0
问题 某班级的一次期中考试平均分为97. 5分。但后来发现老师错把一名同学的79分误写成了 97分,再次计算后,得出该班级的平均分为97. 14分,则该班级的学生人数为( )。 A. 48 B. 49 C. 50 D. 51
选项
答案 C
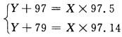
解析 假设分数计算正确的学生总分为Y,该班级一共有X名学生,则列方程组 ,解得X=50。因此,该班级的学生人数为50人,选C。

猜你喜欢

发表评论
更多 网友评论0 条评论)
暂无评论

访问排行

Copyright © 2012-2014 恰考网 Inc. 保留所有权利。 Powered by tikuer.com

页面耗时0.0513秒, 内存占用1.03 MB, Cache:redis,访问数据库20次