2011年,纳入统计的交通运输科技机构共完成科研基础条件建设投资20. 2亿元,比上年增长19.3%。其中,基本建设资金达15.0亿元,占投资总规模的74...

作者: rantiku 人气: - 评论: 0
问题 2011年,纳入统计的交通运输科技机构共完成科研基础条件建设投资20. 2亿元,比上年增长19.3%。其中,基本建设资金达15.0亿元,占投资总规模的74. 5%,所占比重较上年提高5. 7个百分点;科研经费中科研设备投资完成5. 1亿元,与上年相比基本持平,占投资总规模的25.5%。 2011年纳入统计的交通运输科技机构完成的基本建设投资比上年增长约( )。 A. 19. 3% B. 29. 2% C. -2.4% D. 8. 7%
选项
答案 B
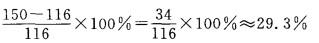
解析 见表格,2011年交通科研基本建设投资额为150301万元,而2010年为116345 万元,则增长了,B 项正确。

猜你喜欢

发表评论
更多 网友评论0 条评论)
暂无评论

访问排行

Copyright © 2012-2014 恰考网 Inc. 保留所有权利。 Powered by tikuer.com

页面耗时0.0451秒, 内存占用1.03 MB, Cache:redis,访问数据库18次