为了迎接节日,某公司要将花园内所有的400株月季都换成玫瑰,但是由于风大,每天都有相同数量的玫瑰损坏。已知每人每天可以更换10株玫瑰,若4个人更换则需要2...

作者: rantiku 人气: - 评论: 0
问题 为了迎接节日,某公司要将花园内所有的400株月季都换成玫瑰,但是由于风大,每天都有相同数量的玫瑰损坏。已知每人每天可以更换10株玫瑰,若4个人更换则需要20天才可以将花园内的月季全部换成新的玫瑰,那么若6个人更换,则需要多少天可以将花园内的月季全部换成新的玫瑰?( ) A. 10 B. 12 C. 15 D. 18
选项
答案 A
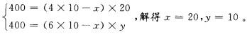
解析 设每天有x株玫瑰损坏,6个人需要y天可以将花全部换成新的玫瑰,则可得

猜你喜欢

发表评论
更多 网友评论0 条评论)
暂无评论
错误啦!

错误信息

  • 消息: [程序异常] : MISCONF Redis is configured to save RDB snapshots, but it's currently unable to persist to disk. Commands that may modify the data set are disabled, because this instance is configured to report errors during writes if RDB snapshotting fails (stop-writes-on-bgsave-error option). Please check the Redis logs for details about the RDB error.
  • 文件: /twcms/kongphp/cache/cache_redis.class.php
  • 位置: 第 85 行
    <?php echo 'KongPHP, Road to Jane.'; ?>