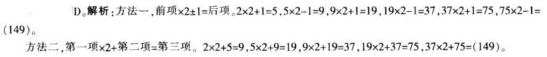
2 5 9 19 37 75 ()A.140 B.142 C.146 D.149

作者: rantiku 人气: - 评论: 0
问题 2 5 9 19 37 75 () A.140 B.142 C.146 D.149
选项
答案 D
解析

猜你喜欢

发表评论
更多 网友评论0 条评论)
暂无评论

访问排行

Copyright © 2012-2014 恰考网 Inc. 保留所有权利。 Powered by tikuer.com

页面耗时0.0338秒, 内存占用1.03 MB, Cache:redis,访问数据库19次