2011年我国全部工业增加值188572亿元。规模以上工业增加值增长13,9%,在规模以上工业中,国有及国有控股企业增长9.9%;集体企业增长9.3%,股...

作者: rantiku 人气: - 评论: 0
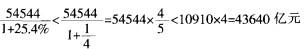
问题 2011年我国全部工业增加值188572亿元。规模以上工业增加值增长13,9%,在规模以上工业中,国有及国有控股企业增长9.9%;集体企业增长9.3%,股份制企业增长15.8%,外商及港澳台商投资企业增长10.4%,私营企业增长19.5%;轻工业增长13.0%,重工业增长14.3%。 全年规模以上工业中,农副食品加工业增加值比上年增长14.1%,纺织业增长8.3%,通用 设备制造业增长17.4%,专用设备制造业增长19.8%,交通运输设备制造业增长12.0%,通信设 备、计算机及其他电子设备制造业增长15.9%,电气机械及器材制造业增长14.5%。六大高耗能 行业增加值比上年增长12.3%,其中,非金属矿物制品业增长18.4%,化学原料及化学制品制造 业增长14.7%,有色金属冶炼及压延加工业增长13.6%,黑色金属冶炼及压延加工业增长 9.7%,电力、热力的生产和供应业增长10.1%,石油加工、炼焦及核燃料加工业增长7.6%。高技 术制造业增加值比上年增长16.5%。 全年规模以上工业企业实现利润54544亿元,比上年增长25.4%。 2010年,规模以上工业企业实现利润约为: A.43500 亿元 B.43800 亿元 C.44100 亿元 D.44500 亿元
选项
答案 A
解析 根据材料第三段,2011年全年规模以上工业企业实现利润54544亿元,比上年增长25.4%,故2010年规模以上工业企业实现利润为 最接近的是A项。

猜你喜欢

发表评论
更多 网友评论0 条评论)
暂无评论

访问排行

Copyright © 2012-2014 恰考网 Inc. 保留所有权利。 Powered by tikuer.com

页面耗时0.0419秒, 内存占用1.04 MB, Cache:redis,访问数据库20次