某演唱会检票前若干分钟就有观众开始排队等候人场,而每分钟来的观众人数一样多。 从开始检票到等候队伍消失,若同时开4个入场口需50分钟,若同时开6个人场口则...

作者: rantiku 人气: - 评论: 0
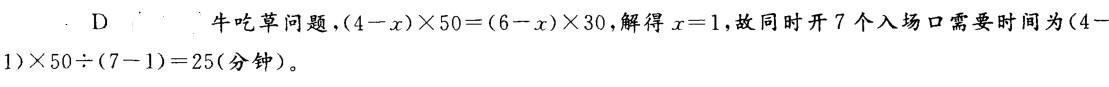
问题 某演唱会检票前若干分钟就有观众开始排队等候人场,而每分钟来的观众人数一样多。 从开始检票到等候队伍消失,若同时开4个入场口需50分钟,若同时开6个人场口则需 30分钟。问如果同时开7个入场口需几分钟?( ) A. 18分钟 B. 20分钟 C. 22分钟 D. 25分钟
选项
答案 D
解析

猜你喜欢

发表评论
更多 网友评论0 条评论)
暂无评论
错误啦!

错误信息

  • 消息: [程序异常] : MISCONF Redis is configured to save RDB snapshots, but it's currently unable to persist to disk. Commands that may modify the data set are disabled, because this instance is configured to report errors during writes if RDB snapshotting fails (stop-writes-on-bgsave-error option). Please check the Redis logs for details about the RDB error.
  • 文件: /twcms/kongphp/cache/cache_redis.class.php
  • 位置: 第 85 行
    <?php echo 'KongPHP, Road to Jane.'; ?>