下列轴承内径过程能力指数Cp的计算结果中,正确的是()。A. 1.57 B. 1.67C. 3.34 D. 3.88

作者: rantiku 人气: - 评论: 0
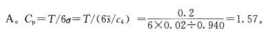
问题 下列轴承内径过程能力指数Cp的计算结果中,正确的是()。 A. 1.57 B. 1.67 C. 3.34 D. 3.88
选项
答案 A
解析

猜你喜欢

发表评论
更多 网友评论0 条评论)
暂无评论

访问排行

Copyright © 2012-2014 恰考网 Inc. 保留所有权利。 Powered by tikuer.com

页面耗时0.0358秒, 内存占用1.03 MB, Cache:redis,访问数据库20次