对5袋粮食进行称重,获得如下数据:62,68,70,72,78 (单位:kg),样本方差为()。A. 70.0 B. 60.5C. 34.0 D....

作者: rantiku 人气: - 评论: 0
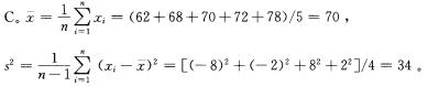
问题 对5袋粮食进行称重,获得如下数据:62,68,70,72,78 (单位:kg),样本方差为()。 A. 70.0 B. 60.5 C. 34.0 D. 32.6
选项
答案 C
解析

猜你喜欢

发表评论
更多 网友评论0 条评论)
暂无评论

访问排行

Copyright © 2012-2014 恰考网 Inc. 保留所有权利。 Powered by tikuer.com

页面耗时0.0502秒, 内存占用1.03 MB, Cache:redis,访问数据库19次