把钢材弯曲成钢夹,考虑钢夹的间隙距离,其规范限为6. 8±0. 6 mm,若加工 过程平稳,钢夹的间隙距离X~N(6.8,0. 32)。该加工过程的过...

作者: rantiku 人气: - 评论: 0
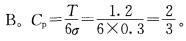
问题 把钢材弯曲成钢夹,考虑钢夹的间隙距离,其规范限为6. 8±0. 6 mm,若加工 过程平稳,钢夹的间隙距离X~N(6.8,0. 32)。 该加工过程的过程能力指数Cp为( )。 A. 0. 58 B. 0. 67 C. 0.89 D. 1.05
选项
答案 B
解析

猜你喜欢

发表评论
更多 网友评论0 条评论)
暂无评论

访问排行

Copyright © 2012-2014 恰考网 Inc. 保留所有权利。 Powered by tikuer.com

页面耗时0.0414秒, 内存占用1.03 MB, Cache:redis,访问数据库20次