设 X~N(3,(0.2)2) , 则P(2X>6.8) =( )。[2007 年真题]A. Φ(3.4) B. 1—Φ(3.4) C. 1—Φ(2)...

作者: rantiku 人气: - 评论: 0
问题 设 X~N(3,(0.2)2) , 则P(2X>6.8) =( )。[2007 年真题] A. Φ(3.4) B. 1—Φ(3.4) C. 1—Φ(2) D. Φ(2)
选项
答案 C
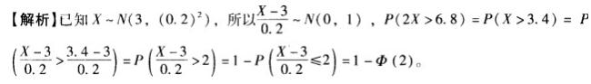
解析

猜你喜欢

发表评论
更多 网友评论0 条评论)
暂无评论

访问排行

Copyright © 2012-2014 恰考网 Inc. 保留所有权利。 Powered by tikuer.com

页面耗时0.0396秒, 内存占用1.03 MB, Cache:redis,访问数据库20次