设随机变量U服从标准正态分布,其分布函数为Φ(u),α为正数,则下列叙述中正确的有( )。

作者: rantiku 人气: - 评论: 0
问题 设随机变量U服从标准正态分布,其分布函数为Φ(u),α为正数,则下列叙述中正确的有( )。
选项
答案 BCE
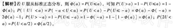
解析

猜你喜欢

发表评论
更多 网友评论0 条评论)
暂无评论

访问排行

Copyright © 2012-2014 恰考网 Inc. 保留所有权利。 Powered by tikuer.com

页面耗时0.0375秒, 内存占用1.03 MB, Cache:redis,访问数据库19次