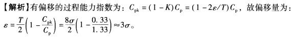
已知某过程能力指数Cp =1.33,有偏移的过程能力指数Cpk =0.33。偏移量ε为( )。A. 2σ B. 3σ C. 4σ D. 5σ

作者: rantiku 人气: - 评论: 0
问题 已知某过程能力指数Cp =1.33,有偏移的过程能力指数Cpk =0.33。 偏移量ε为( )。 A. 2σ B. 3σ C. 4σ D. 5σ
选项
答案 B
解析

猜你喜欢

发表评论
更多 网友评论0 条评论)
暂无评论

访问排行

Copyright © 2012-2014 恰考网 Inc. 保留所有权利。 Powered by tikuer.com

页面耗时0.0360秒, 内存占用1.03 MB, Cache:redis,访问数据库19次